Yan Cui
I help clients go faster for less using serverless technologies.
Whilst working on a client project, I ran into an interesting problem with AppSync which I couldn’t find an answer after a lot of googling. I hope this article can save you the same pain should you run into the same problem.
The problem is that when you have a nullable nested field that you want to expand, you have to handle the null values in your VTL template and skip them. It was not obvious how to do this in a managed system like AppSync.
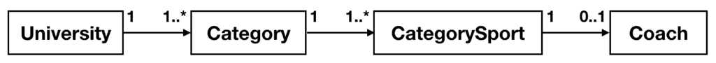
To give you a better idea of what I’m talking about, here is a drastically simplified version of the GraphQL schema.
type University {
name: String!
categories: [Category!]
}
type Category {
name: String!
sports: [CategorySport!]
}
type CategorySport {
name: String!
description: String
coach: Coach # in the DynamoDB table, this is stored as a String
}
type Coach {
id: ID!
firstName: String!
lastName: String!
}

In the DynamoDB table, universities are stored in the University table and users in the User table. Categories and sports are modelled as properties of a university to minimize the no. of DynamoDB reads. And the CategorySport.coach field is the profile ID for a user in the User table.

To make it easier for the UI to consume the data, we expand the CategorySport.coach field to be a fully fledged Coach type.
So, I set up the resolver for this nested field and point it at the User table. p.s. I’m using the Serverless framework with the excellent serverless-appsync-plugin to help me configure everything.
mappingTemplates:
- type: CategorySport
field: coach
dataSource: userTable
dataSources:
- type: AMAZON_DYNAMODB
name: userTable
config:
tableName: !Ref UserTable
And I configured the VTL templates for the request:
{
"version" : "2017-02-28",
"operation" : "GetItem",
"key": {
"id": $util.dynamodb.toDynamoDBJson($context.source.coach)
}
}
and response:
$util.toJson($context.result)
And everything works great, except when CategorySport.coach is null.

What I needed, was a way to short-circuit the DynamoDB.GetItem request when CategorySport.coach is null. After a lot of searching, my google fu yielded nothing and I turned to my good friend Heitor Lessa. He pointed me to this helpful post which mentioned #return keyword that lets you short-circuit a resolver execution and return early.

With this, I was able to work around the problem by adding just 3 lines of code to my request template.
#if ($util.isNullOrEmpty($context.source.coach))
#return
#end
{
"version" : "2017-02-28",
"operation" : "GetItem",
"key": {
"id": $util.dynamodb.toDynamoDBJson($context.source.coach)
}
}
One thing to note is that you can’t have #return(null) but #return would null as the result for the resolver, and skip the DynamoDB GetItem operation and the response template altogether.
Whenever you’re ready, here are 3 ways I can help you:
- Production-Ready Serverless: Join 20+ AWS Heroes & Community Builders and 1000+ other students in levelling up your serverless game. This is your one-stop shop for quickly levelling up your serverless skills.
- I help clients launch product ideas, improve their development processes and upskill their teams. If you’d like to work together, then let’s get in touch.
- Join my community on Discord, ask questions, and join the discussion on all things AWS and Serverless.
